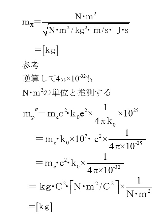
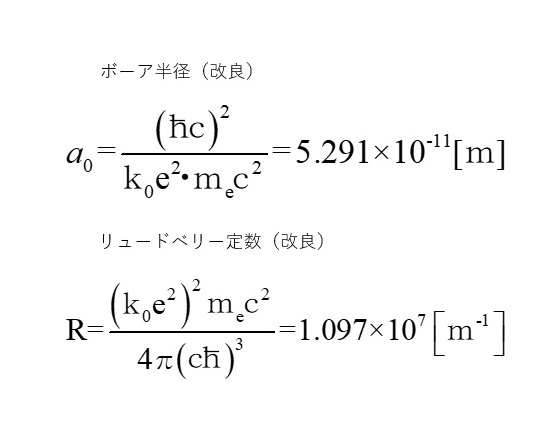
陽子の質量の公式 発見

参照 https://doi.org/10.6084/m9.figshare.30444512
https://doi.org/10.6084/m9.figshare.30428719
https://doi.org/10.6084/m9.figshare.30428659
https://doi.org/10.6084/m9.figshare.30428236
大阪工業大学OB 景山英俊















広告
黄金のリンゴ 浮力は出るのか?
~統一場ロマン+幻の数式~
価格 600円+税 文芸社より出版